the Creative Commons Attribution 4.0 License.
the Creative Commons Attribution 4.0 License.
 
                
            
            Carbonate 206Pb ∕ 238U problems and potential 207Pb ∕ 235U fixes
Noah McLean
Anton Vaks
Tzahi Golan
Sebastian F. M. Breitenbach
Randall Parrish
Carbonate U–Pb dating has become a key tool for Quaternary palaeoclimatology and palaeoanthropology beyond the age limit of Th–U disequilibrium dating. U–Pb geochronology is based on the paired radioactive decay of 238U to 206Pb and of 235U to 207Pb. Current carbonate U–Pb data processing algorithms rely mostly on the 206Pb 238U clock and attach little weight to the 207Pb 235U data. A key weakness of this approach is the need to correct the 206Pb 238U data for initial 234U 238U disequilibrium, which may cause an excess or (occasionally) a deficit in radiogenic 206Pb compared to secular equilibrium. Uncorrected initial disequilibrium may bias 206Pb 238U dates by up to 4 Myr. We introduce a new disequilibrium correction algorithm, using matrix exponentials. This algorithm can be used to undo the effects of U-series disequilibrium using either an assumed initial composition or a measured set of modern 234U 238U (and optionally 230Th/238U) activity ratios. Using a deterministic Bayesian inversion algorithm, we show that disequilibrium corrections work well for relatively young samples but become unreliable beyond 1.5 Ma and impossible beyond 2 Ma. Using theoretical models and real world examples from Siberia, South Africa, and Israel, we show that the uncertainty of the disequilibrium correction of such old samples exceeds the correction itself. Previous “Monte Carlo” error propagation methods underestimate these uncertainties by up to an order of magnitude. For carbonates older than 2 Ma that likely experienced significant initial 234U 238U disequilibrium, we recommend using the 207Pb 235U isochron method instead of 206Pb 238U geochronology. 207Pb 235U isochrons require only a small and simple correction for initial 231Pa depletion. This makes 207Pb 235U dating more accurate than 206Pb 238U geochronology. However, the 207Pb 235U method is no panacea. Its precision is limited by the lower abundance of 207Pb compared to 206Pb. In some samples, this loss of precision results in a failure to outperform the Bayesian credible intervals of the disequilibrium-corrected 206Pb 238U dates. Such samples remain undatable, unless prior information is available to constrain the initial 234U 238U activity ratios.
- Article
                                                    (3578 KB) 
- Full-text XML
- BibTeX
- EndNote
Carbonate rocks are only a minor component of the continental crust. However, their scientific importance far outweighs their volumetric abundance. Biogenic carbonates and speleothems document the history of life and of Earth's climate and environment. To generate detailed time series of past changes from these carbonate archives, an accurate and precise chronological framework is essential. This framework is anchored in absolute time using radiometric dating methods, with two techniques commonly employed for this purpose. 230Th/U dating is the method of choice for young samples whose 230Th, 234U, and 238U activities are out of secular equilibrium (Kaufman and Broecker, 1965; Ludwig, 2003). 206Pb 238U dating is the default method for older rocks, in which the secular equilibrium between 230Th, 234U, and 238U has been restored (Smith and Farquhar, 1989; Roberts et al., 2020).
Ironically, the absence of detectable 234U 238U disequilibrium compromises the accuracy of the 206Pb 238U method. Any initial excess or deficit of 234U and 230Th affects the 206Pb 238U ratio and, hence, the age estimate derived therefrom. In clean, detritus-free carbonates, it is often safe to assume the absence of initial 230Th. This assumption is not valid for 234U, which can be enriched (or occasionally depleted) relative to 238U by physiochemical processes such as (1) α-recoil ejection and preferential leaching of 234U from α-damaged mineral sites and (2) chemical fractionation between preferentially oxidized 234U6+ and 238U4+ (Fleischer, 1982; Porcelli and Swarzenski, 2003).
Corrections for initial 234U 238U disequilibrium can be done either by assuming a specific initial 234U 238U activity ratio or by inferring the initial ratio from any measured residual 234U 238U disequilibrium (Richards et al., 1998; Woodhead et al., 2006; Wendt and Carl, 1985; Engel et al., 2019). In Sect. 2 of this paper, we review the second approach using matrix exponentials. We show that initial 234U 238U disequilibrium can bias 206Pb 238U dates by up to 4 Myr.
Current disequilibrium correction algorithms use a “Monte Carlo” approach to propagate the errors. In Sect. 3 we will show that this approach can underestimate the analytical uncertainties of 206Pb 238U dates by an order of magnitude when samples are within a few per mil of secular equilibrium (which typically happens before ca. 2 Ma). This observation undermines the results of several published studies (Vermeesch et al., 2025).
In Sect. 4 we introduce a deterministic Bayesian approach to estimate the uncertainties of disequilibrium-corrected 206Pb 238U dates. We use this alternative algorithm to show that beyond ca. 2 Ma, disequilibrium-corrected 206Pb 238U dates are impractically imprecise, unless highly enriched initial 234U 238U activity ratios can be ruled out a priori. The large uncertainty associated with the 206Pb 238U method degrades its ability to constrain reliable chronologies for carbonates whose initial disequilibrium has expired. However, a more accurate approach is available. Following the example of Richards et al. (1998), Neymark and Amelin (2008), Vaks et al. (2020), and others, Sect. 6 makes a case for the little-used 207Pb 235U clock as a replacement for the 206Pb 238U method.
207Pb  235U isochrons are, essentially, immune to the effects of initial disequilibrium (apart from a minor correction for 231Pa, which becomes smaller with increasing age).  In Sect. 7 we present examples from Siberia and Israel to show that the 207Pb  235U method is more accurate than the 206Pb  238U method, whilst being less precise for young samples. Both the Bayesian uncertainty estimation method and 207Pb  235U isochrons have been implemented in the IsoplotR toolbox for radiometric geochronology (Sect. 8).
This paper will use the following symbols and notations:
- 
      n38, n34, n30, n26 and n06: the number of atoms of 238U, 234U, 230Th, 226Ra and 206Pb, respectively; 
- 
      λ38, λ35, λ34, λ32, λ31, λ30 and λ26: the radioactive decay constants of 238U, 235U, 234U, 232Th, 231Pa, 230Th and 226Ra, respectively; 
- 
      : the present day 234U 238U activity ratio (i.e. ); 
- 
      , , : the initial 234U 238U, 230Th/238U and 231Pa/235U activity ratios, respectively; 
- 
      and : the measured 234U 238U activity ratio and its standard error, respectively. 
- 
      123.456 ± 0.012 represents a(n approximate) 95 % confidence interval, whereas 123.456(78) is a more succinct notation that indicates a value of 123.456 with a standard error of 0.078. 
Even though the U–Pb decay systems consist of numerous steps (14 for the 238U→206Pb chain and 11 for the 235U→207Pb chain), conventional U–Pb geochronology ignores this complexity, and the method is mathematically treated as a set of simple parent–daughter pairs. This simplification is justified once a state of secular equilibrium is established between all the intermediate daughter products in the decay chains. Such secular equilibrium is practically reached after 1 to 2 Myr. As mentioned in Sect. 1, any disequilibrium that might exist prior to this secular equilibrium can be used as a chronometer in its own right.
Initial disequilibrium of the U-decay series affects the accuracy of the U–Pb method. For example, ignoring any initial excess 234U results in an overestimated 206Pb 238U age, and ignoring any initial 231Pa deficit results in an underestimated 207Pb 235U age. Therefore, initial disequilibrium is one mechanism to produce discordant U–Pb results. Extreme 234U enrichments have been observed in places such as South Africa ( < 12; Kronfeld et al., 1994), Siberia ( < 6; Vaks et al., 2020) and Japan ( < 12; Kuribayashi et al., 2025). Using the = 12 value as an upper bound, the maximum effect of initial 234U 238U disequilibrium can be approximated as follows:
where λ38 = 0.155125(83) Gyr−1 (Jaffey et al., 1971), λ30 = 9.1705(16) Myr−1, and λ34 = 2.82206(80) Myr−1 (Cheng et al., 2013). For old carbonates (> 100 Ma, say), a 4 Myr bias may be inconsequential. However, for young carbonates, the relative effect of initial disequilibrium can result in order-of-magnitude levels of bias. A disequilibrium correction is needed to remove this bias.
If the intermediate daughter is sufficiently long lived and the sample is sufficiently young (t < , say) to retain some of its disequilibrium, then the activity ratios can be back-calculated to the time of isotopic closure (assuming subsequent closed-system behaviour). This strategy applies to 234U 238U disequilibrium and, for very young samples, to 230Th 238U disequilibrium. The complex evolution of the U-decay series was first described by Bateman (1908) and subsequently applied to U–Pb geochronology by Ludwig (1977), Wendt and Carl (1985), and Engel et al. (2019). Here we opt for an alternative formulation, using matrix exponentials (Albarède, 1995). For example, the 238U → 206Pb decay chain can be expressed in matrix form as follows:
where λ26 = 0.4332(19) kyr−1 (Audi et al., 2003), and the shortest-lived intermediate daughters (< 1 kyr half-lives) have been omitted. The solution to Eq. (2) is a so-called matrix exponential:
which expresses the present-day amounts of the different isotopes as a function of the initial amounts. An interesting result is obtained by setting t = ∞ in Eq. (3) to estimate the activity ratio under secular equilibrium:
Note that this activity ratio is not exactly equal to unity. This is because 0.0055 % of 238U is lost during 234U's mean lifetime of = 354 kyr. Equation (3) can also be inverted to express the initial amounts as a function of the present-day amounts:
Equations (3) and (5) can be used to construct a concordia diagram in the presence of disequilibrium. If measured activity ratios are used to infer the initial conditions, then the concordia line terminates where those inferred activity ratios reach unrealistic values (e.g. = 500 and = 0; Fig. 1a). Beyond 10 or so 234U half-lives, it becomes very difficult to estimate from , and it is even more difficult to quantify the analytical uncertainty of the disequilibrium correction. In Sect. 3 we review the current “Monte Carlo” approach to uncertainty estimation for initial disequilibrium correction, and in Sect. 4 we propose an alternative “Bayesian” approach, which offers significant advantages for samples that are close to secular equilibrium.

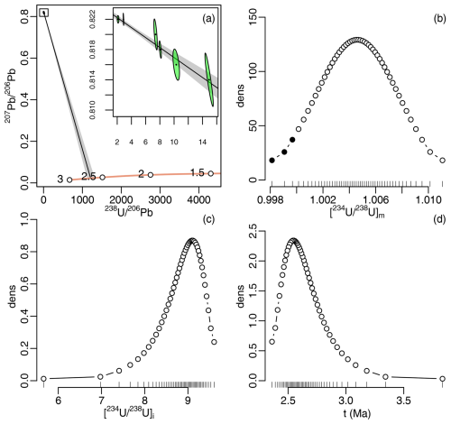
Figure 1Output of the “Monte Carlo” algorithm for the Corchia dataset of Pollard et al. (2023). (a) Tera–Wasserburg concordia diagram with disequilibrium-corrected isochron (t = 0.5804 ± 0.0086 Ma); (b) 50 representative samples from the distribution of 234U 238U activity ratio measurements; (c) the corresponding initial 234U 238U activity ratios; and (d) the isochron ages corresponding to the values presented in panel (c).
Existing data processing software for disequilibrium-corrected 206Pb  238U geochronology, such as DQPB
(Pollard et al., 2023), estimates the uncertainty of the disequilibrium correction by Monte Carlo simulation. Given a linear array of isotopic data in Tera–Wasserburg space (i.e.  vs. ), paired with an activity ratio measurement  with standard error , this approach works as follows: 
- 1.
      Draw a random value from a normal distribution with mean and standard deviation . 
- 2.
      Fit a straight line to the U–Pb data and find the value and isochron age (t) that are consistent with both the U–Pb measurements and . In other words, use Eq. (5) to estimate from , and repeat this for different values of t until the linear fit to the U–Pb data is optimized. 
- 3.
      Repeat steps (1) and (2) until the entire distribution of values has been sampled. 
- 4.
      If step (2) fails or produces physically impossible results (e.g. t < 0), then ignore the corresponding value. Otherwise add the and t values to a list of acceptable results. 
- 5.
      Use the spread of the acceptable and t values to quantify their respective uncertainties. 
For the purpose of the present study, we have implemented our own version of this algorithm (Vermeesch, 2025), using R and IsoplotR
(Vermeesch, 2018). The only major difference between our code and DQPB is that it does not sample the  distribution randomly but uses a targeted approach to sample  as a sequence of regularly spaced normal quantiles. This is faster and produces deterministic results that do not depend on the seed of a random number generator. Figure 1 summarizes the application of this approach using the “Corchia” dataset of Pollard et al. (2023), producing identical results to DQPB. To reflect this equivalence of outcomes, we will refer to our version of the algorithm as a “Monte Carlo” method, despite the fact that it does not actually use a random number generator.
Next, let us apply the same approach to older materials such as sample AV03 (Bolt's Farm, South Africa) of Pickering et al. (2019). The uncorrected U–Pb isochron age for this sample is 5.6 ± 0.9 Ma, which is 22 half-lives of 234U. Consequently, the measured present-day 234U 238U activity ratio is statistically indistinguishable from secular equilibrium, at = 1.0046 ± 0.0063. Despite the lack of measurable disequilibrium, the “Monte Carlo” approach appears to have successfully applied a disequilibrium correction, resulting in a corrected age that is less than half the uncorrected age, with a precision of better than 12 % (Fig. 2). How is this possible? The answer lies in the rejected solutions (step 4 of the algorithm), which are marked in black in Fig. 2b. Ignoring these “physically impossible” initial ratios suppresses the equilibrium solutions and skews the distribution of Monte Carlo solutions towards high values (Fig. 2c) and young ages (Fig. 2d).

Figure 2Output of the “Monte Carlo” algorithm for sample AV03 of Pickering et al. (2019). Panels (a)–(d) are as in Fig. 1. The black dots in panel (b) mark synthetic replicates that are rejected because they yield physically impossible and/or t values. The results shown in panels (c) and (d) are consistent with the published values.
To demonstrate that the result of Fig. (2) is wrong, let us replace the measured 234U 238U activity ratio with the equilibrium ratio (Eq. 4):
Plugging this value into the “Monte Carlo” algorithm yields an impossible result (Fig. 3). It has applied a disequilibrium correction without any actual disequilibrium, by ignoring exactly half of the distribution (Fig. 3b). This was necessary because, for this old sample, essentially any value that is less than the equilibrium ratio would require a negative ratio or a negative isochron age t.

Figure 3The same data as Fig. 2 but replacing with the equilibrium ratio. Note that half of the synthetic replicates have been rejected (black circles). Even though there is absolutely no evidence for disequilibrium, the “Monte Carlo” produces a corrected isochron age (d) that is half the uncorrected value (a). This result is clearly wrong.
The previous section showed that the “Monte Carlo” algorithm produces incorrect results for samples whose -distributions fall within, say, 3 standard errors (i.e. ) from secular equilibrium. One way to address this issue is for the “Monte Carlo” algorithm to issue a warning when the  value is close to . This is the approach taken by DQPB
(Pollard et al., 2023).  In this section we introduce an alternative approach that automatically handles problematic cases, without the need to define a nominal “applicability cutoff”. Given any values of  and , our new “Bayesian” algorithm proceeds as follows: 
- 1.
      Define a prior distribution for . In a first instance, we will use a uniform distribution that stretches between a minimum value m = 0 and a maximum value M = 20. However, this uniform distribution can easily be replaced by a more informative prior. One flexible way to capture a diversity of prior information is the logistic normal distribution: where μ and σ are the location and dispersion parameters of the distribution, respectively. An application of this informative prior will be given in Sect. 7. 
- 2.
      Draw a random sample from the prior distribution, carry out a constrained isochron regression, and register the resulting age (t) and corresponding value. In other words, use Eq. (3) to estimate from , and repeat this for different values of t until the linear fit to the U–Pb data is optimized. Register the likelihood of this linear fit using the same algorithm as used for regular U–Pb isochron regression (Ludwig, 1998; Vermeesch, 2020). 
- 3.
      Calculate the likelihood of the inferred values under a normal distribution with mean and standard deviation . Combine with the likelihood of the linear fit (obtained in step 2) to produce the “posterior” probability of initial ratios. 
- 4.
      Repeat steps (2) and (3) to constrain the posterior distributions of and t. This can be done either using a Markov chain or with a targeted approach of appropriately spaced values. 
Applying this method to the 580 ka Corchia example (Fig. 4) yields essentially identical results to the “Monte Carlo” algorithm (Fig. 1).

Figure 4The same data as Fig. 1 but using the Bayesian approach. y axes display the prior probability (a), likelihood (b), and posterior probabilities (c, d), respectively. For this relatively young sample, the Bayesian method yields similar results to the “Monte Carlo” solution.
However, when the Bayesian approach is applied to the older Bolt's Farm data (Fig. 5), it produces a very different result than the “Monte Carlo” approach (Fig. 2). The posterior distributions for Bolt's Farm sample AV03 (shown in Fig. 5c and d) still have maxima at = 9 and t = 2.6 Ma, just like the “Monte Carlo” distributions (Fig. 2c and d). But unlike the “Monte Carlo” solution, the result of the Bayesian approach also assigns a significant probability to older ages, including the uncorrected U–Pb date of 5.6 Ma. The similarity of this posterior distribution to the prior distribution reflects the fact that the measured 234U 238U activity ratio contains relatively little information. The resulting uncertainties are large but correctly reflect our ignorance about the true extent of the disequilibrium in this case.
Finally, changing the ratio to the equilibrium value (Fig. 5) produces a posterior distribution that is nearly identical to the prior distribution. This means that the likelihood function contains almost no information. In other words, the measured 234U 238U activity ratio does not tell us anything about the initial disequilibrium (except that < 10). If it cannot be ruled out that the sample may have experienced extreme 234U 238U disequilibrium, then it is not possible to undo the effects of this disequilibrium using the modern (measured) 234U 238U activity ratio.

Figure 5Posterior distributions of and t for sample AV03 of Pickering et al. (2019). Panels (a) and (b) represent the original U–Pb data of Fig. 2, whereas panels (c) and (d) show the modified data of Fig. 3. Likelihood functions are provided in panel (b) of the latter two figures. A uniform prior was used but is not shown. The modes of the posterior distributions agree with the modes of the “Monte Carlo” solutions. However, whereas the “Monte Carlo” algorithm suggests a high degree of confidence in the disequilibrium correction, the Bayesian approach shows that one cannot rule out a much higher age of the sample, including the uncorrected date of 5.6 Ma.
The applicability range of the 206Pb 238U method depends on the ratio and on the precision of the measurements. Although sub-per-mil level analytical uncertainties can be routinely achieved for individual measurements, the external reproducibility is likely worse than this in most samples. This is due to a combination of two competing factors. First, is negatively correlated with U concentration (Osmond and Cowart, 1976; Zhou et al., 2005; Kuribayashi et al., 2025). Second, the U concentration must exhibit large variations to form a statistically robust 206Pb 238U isochron.
The combination of these two effects has the potential to cause intra-sample variations in , exceeding the analytical uncertainties. The exact magnitude of the dispersion is unknown because most speleothem U–Pb dating studies report only one or a few values per isochron. Here we will assume a conservative value of , based on a collection of 12 speleothems analysed by Walker et al. (2006).
Disequilibrium corrections using measured 234U 238U activity ratios are only feasible if those activity ratios are statistically distinguishable from secular equilibrium. To turn these conclusions into quantitative guidelines, let us define “statistically distinguishable” as “at least 3 × removed from secular equilibrium”. Using this definition, a sample with < 2.7 would become indistinguishable from secular equilibrium after ca. 2 Ma. In other words, it is impossible to correct a 2 Ma sample whose = 2.7, say. The uncorrected 206Pb 238U isochron age of such a sample would be 2.6 Ma, corresponding to a bias of 30 %. Table 1 shows the outcomes of the same exercise for a range of other ages.
Figure 6 presents a more extensive exploration of the magnitude (panel a) and precision (panel b) of disequilibrium-corrected 206Pb  238U geochronology assuming the aforementioned 2 ‰ reproducibility. Alternative versions of this diagram can be generated by modifying the reproducibility value in the R code provided in the Supplement of Vermeesch (2025).

Figure 6Nomogram to assess the applicability of the 206Pb 238U method in the presence of different degrees of initial 234U 238U disequilibrium. Panels (a) and (b) visualize the magnitude and the precision of the disequilibrium correction, respectively, for selected values of the initial activity ratios . tr is the uncorrected date, assuming secular equilibrium. tc is the true age, which equals the disequilibrium-corrected date using the expected value. tu and tl are the disequilibrium-corrected dates using present-day 234U 238U activity ratios of + 2 ‰ and − 2 ‰, respectively. The dashed line in panel (b) marks the relative uncertainty interval when no disequilibrium measurement is available, defined as the difference between corrected dates assuming initial 234U 238U activity ratios of 1 and 12.
Based on these considerations, we judge carbonate 206Pb 238U geochronology to be unreliable beyond ca. 1.5 Ma and impossible beyond ca. 2 Ma unless initial 234U 238U disequilibrium can be confidently ruled out (Fig. 6). However, there is a solution to the conundrum of 234U 238U disequilibrium. This solution is the 207Pb 235U isochron method (Richards et al., 1998; Engel et al., 2019; Vaks et al., 2020; Vermeesch et al., 2025).
In the previous section, we showed that the 206Pb 238U method's accuracy is hampered by the extreme enrichment (up to double the equilibrium value or more) of 234U observed in certain groundwaters (e.g. Osmond and Cowart, 1976; Kronfeld et al., 1994; Kuribayashi et al., 2025). This problem can be solved by avoiding 234U altogether and sidestepping the 238U–206Pb decay chain in favour of the 235U–207Pb decay chain (Neymark and Amelin, 2008).
There are two kinds of 207Pb 235U isochrons. The simplest kind plots 204Pb 207Pb ratios against 204Pb 235U ratios, defining the following linear relationship:
where 204Pb is used as a proxy for common Pb. Alternatively, one can also use 208Pb to fulfil this role. This gives rise to a 208PbPb vs. 235U 207Pb isochron, where 208Pbi is the non-radiogenic 208Pb component (with the decay products of 232Th removed). Equation (7) is then replaced with
where
in which λ32 = 0.0495(25) Gyr−1 (Le Roux and Glendenin, 1963) and the 232Th 207Pb ratio can be obtained from the product of the 232Th 238U, 238U 235U, and 232Th 207Pb ratios. Because Th is insoluble in water, radiogenic 208Pb is often absent from carbonates. Therefore, it is generally safe to assume that .
The 235U → 207Pb method has just one long-lived intermediate daughter, 231Pa, which requires a correction. Due to 231Pa's short half-life of 32.65 kyr (λ31 = 21.158(71) Myr−1; Audi et al., 2003), it is generally not possible to measure any remaining disequilibrium in the Myr time range, where the 235U → 207Pb method offers a tangible advantage over the 238U → 206Pb method. Therefore, the value must be assumed.
Pa is chemically similar to Th and insoluble in water. Therefore, 231Pa is always depleted relative to 235U in carbonates, so whereas can vary anywhere between 0 and 12 (Osmond and Cowart, 1976), is always less than 1 and can be safely assumed to be zero. In a worst-case scenario, in which one assumes = 0 but the true activity ratio is = 1, this would only bias the 235Pb 235U age by a relatively small amount (Table 2).
The degree of potential bias of the 207Pb 235U method decreases with increasing age, unlike the 206Pb 238U method, whose bias increases with age (Table 1). In this sense, the 207Pb 235U and 206Pb 238U methods are complementary to each other. The 207Pb 235U is most accurate for samples older than 1 Ma, whereas the 206Pb 238U is more accurate for samples younger than 1 Ma. Note that the latter is similar to the applicability range of the 230Th U method, so one could argue that disequilibrium-corrected 206Pb 238U dating is of limited use to carbonate U–Pb geochronology (except to infer ; Engel et al., 2019). Although the 207Pb 235U method outperforms the 206Pb 238U method at ca. 1 Ma in terms of accuracy, its poorer precision means that its potential benefits do not materialize until ca. 2 Ma. In the next section, we will demonstrate this by applying both methods to three different case studies.
Having made a largely theoretical case against 206Pb 238U dating and for 207Pb 235U dating of old carbonates that are suspected to have experienced initial 234U 238U disequilibrium, we will now compare and contrast the two chronometers using three practical case studies. The first example will demonstrate the accuracy of the 207Pb 235U method by showing its consistency with disequilibrium-corrected 206Pb 238U dates of young (< 2 Ma) samples.
The second example uses ID-TIMS data to serve two purposes. First, it will show that the 207Pb 235U method produces more accurate, more consistent, and more precise results than the 206Pb 238U method for older (> 2 Ma) carbonates. Second, it will demonstrate how the Bayesian framework can use prior information to overcome the inaccuracy of the 206Pb 238U method.
In the third case study we apply the 207Pb 235U method to LA-ICP-MS data using 208Pb as a proxy for common Pb. In addition to highlighting a successful application where the 207Pb 235U method produces demonstrably superior results to the 206Pb 238U method, this dataset also illustrates limitations of the 207Pb 235U approach with a sample that yields a precise 206Pb 238U isochron and an unusably imprecise 207Pb 235U isochron.
7.1 ID-ICP-MS data from Siberia
A rich dataset of 72 speleothem dates is available from the Botovskaya and Ledyanaya Lenskaya (LLC) caves in Siberia. Vaks et al. (2020) used the U–Pb method to extend an important palaeoclimatological archive from these caves that was previously dated using the 230Th–U disequilibrium method (Vaks et al., 2013a). Samples were analysed by isotope dilution ICP-MS and were found to exhibit a significant level of 234U 238U disequilibrium. U–Pb ages were estimated using a two-step procedure. First, the common-Pb contribution was removed by two-point isochron regression through an inherited composition that was inferred by inspection of apparent linear trends in Tera–Wasserburg concordia space. Second, a 234U 238U disequilibrium correction was applied to the radiogenic end-member composition, using the procedures described in Sect. 2. This correction combined the measured 234U 238U activity ratios with an assumed absence of initial 230Th and 231Pa.
The inferred values were ca. 2 and 3–5 for LLC and Botovskaya cave, respectively. This corresponds to an age correction of 15 % for LLC and 60 % for Botovskaya cave (Fig. 7). Uncertainties were estimated using the Bayesian procedure of Sect. 4, making the optimistic assumption that the analytical uncertainty of the measurements faithfully captures all sources of dispersion. The scatter of the values suggests that this may not be the case. This caveat notwithstanding, the disequilibrium-corrected 206Pb 238U and 207Pb 235U ages overlap within uncertainty in all but four of the samples.

Figure 7Reanalysis of the speleothem data of Vaks et al. (2020). This record stacks together several speleothems, which are arranged in stratigraphic order for each cave. (a) Uncorrected (circles) and corrected (black error bars) 206Pb 238U dates, juxtaposed next to the 207Pb 235U dates (blue error bars) for the same samples. (b) Measured (, circles) and inferred initial (, error bars) 234U 238U activity ratios. All error bars represent Bayesian 95 % credible intervals. Sample 5 does not have a measurement and was assumed to be in secular equilibrium. Sample 41 is an outlier that has an anomalously high common-Pb concentration and is only included for the sake of completeness.
The 207Pb 235U age uncertainty is invariably larger than the 206Pb 238U age uncertainty. In fact, below ca. 1 Ma, it could be argued that the 207Pb 235U age uncertainties are unusably imprecise ( > 50 %). However, above ca. 1 Ma, the uncertainty reduces to acceptable levels ( < 5 %). Extrapolating this trend further into the past confirms the earlier assertion that beyond ca. 2 Ma, the 207Pb 235U method outperforms the 206Pb 238U method in both accuracy and precision.
7.2 ID-TIMS data for ASH-15
ASH-15 is a carbonate U–Pb dating reference material sourced from a flowstone in Ashalim cave of southern Israel (Nuriel et al., 2021). 37 ID-TIMS measurements were obtained from the flowstone, including 12 from horizon D and 25 from horizon K. The latter are shown in Fig. 8. Nuriel et al. (2021) report an uncorrected semitotal-Pb U isochron age of 2.965 ± 0.011 Ma for ASH-15.

Figure 8ID-TIMS U–Pb data for flowstone ASH-15K (Nuriel et al., 2021). (a) Informative prior for , based on the data compilation of Chaldekas et al. (2022); (b) likelihood function for , using the activity ratio measurements of ASH-15C1 (Vaks et al., 2013a); (c, d) posterior probabilities for and t, respectively; (e) the 206Pb 238U isochron, fitted using the model-3 algorithm of Vermeesch (2024), with the excess dispersion shown as a horizontal 95 % error bar; and (f) the model-1 207Pb 235U isochron. The grey uncertainty bands represent the standard errors of the isochron fits and do not reflect the Bayesian credible intervals.
No 234U 238U activity ratio measurements are available for ASH-15D and ASH-15K. However, two other horizons of the same flowstone (ASH-15A+B and ASH-15C1) are characterized by values of 0.99939 ± 0.00108 and 0.99925 ± 0.0015, indistinguishable from secular equilibrium. Younger flowstones in Ashalim cave yield an average value of 1.0470, with a standard deviation of 0.01492 (Vaks et al., 2010, 2013b). A wider survey of 904 speleothem samples dated in southern and central Israel by Chaldekas et al. (2022) have average values of 1.081 ± 0.138. Despite this lack of observable disequilibrium, Mason et al. (2013) suggest a value of 1.5–2.0 to explain the minor degree of discordance of the common-Pb-corrected Tera–Wasserburg ratios.
To investigate the effect of initial U-series disequilibrium on ASH-15, Fig. 8a and b apply the Bayesian inversion algorithm to the ASH-15K data, using the value of ASH-15C1 and assuming that = 0 (i.e. no initial 230Th). In a first attempt, we will use the same uniform prior from m = 0 to M = 20 as before. This results in a disequilibrium-corrected 206Pb 238U-isochron age of Ma and an inferred ratio of . As expected, initial equilibrium is very plausible with = 0.47. The initial activity ratio preferred by Mason et al. (2013) cannot be ruled out either but is less likely, with = 0.25 and = 0.09.
In a second attempt, we used the values of Chaldekas et al. (2022) to construct an informative prior, using the logistic normal formulation of Eq. (6) with m = 1, M = 3, μ = 1.081, and σ = 0.2. This produces a posterior distribution for that is, essentially, identical to the prior, confirming that the data carry virtually no additional information. The corresponding disequilibrium-corrected 206Pb 238U-isochron age is 3.107 ± 0.065 Ma.
In contrast with the widely varying scenarios for the 206Pb 238U method, the 207Pb 235U isochron age calculation is straightforward:
- 
      an uncorrected 207Pb 235U isochron age of 3.039 ± 0.068 Ma, assuming ≈ 1, 
- 
      a corrected 207Pb 235U isochron age of 3.086 ± 0.068 Ma, assuming = 0. 
These are nearly identical to the 206Pb 238U date using the informative prior. We would like to conclude the discussion of ASH-15 by remarking that disequilibrium issues do not affect the suitability of this sample as a reference material for in situ U–Pb geochronology. This is because standardization is done relative to the uncorrected isotopic composition (Horstwood et al., 2016).
7.3 LA-ICP-MS data from Siberia
For the final case study, we return from Israel to the Botovskaya cave deposits in Siberia. Section 7.1 and Fig. 7 show abundant evidence that this cave is strongly enriched in initial 234U, with values ranging from 3 to 5 according to the results of Vaks et al. (2020). The effect of this strong disequilibrium can be confidently undone for the young (< 500 ka) speleothems shown in Fig. 7. However, Botovskaya cave also contains speleothems that are considerably older than this, going all the way back to the Plio-Pleistocene. By now it should be clear that the 206Pb 238U method is ill suited to unlock this older archive. Figure 9 summarizes some preliminary U–Pb results from two of these older cave deposits (sample SB-1625-22 and sample SB-72-8) obtained by LA-ICP-MS.

Figure 9LA-ICP-MS data for two speleothems from Botovskaya cave in Siberia. (a) Model-3 206Pb 238U isochron regression for sample SB-1625-22. The equivalent model-1 isochron age (with MSWD = 9) is 2.65 ± 0.10 Ma. (b) Model-1 207Pb 235U isochron for SB-1625-22; (c) model-1 206Pb 238U, and (d) 207Pb 235U isochrons for sample SB-72-8 (2.73 ± 1.33 Ma).
As mentioned before under the discussion of the Bolt's Cave data, the 204Pb measurements produced by this technique are imprecise and potentially inaccurate. In this case, 208Pb was measured and can be used as a substitute for 204Pb. Th U ratios (also measured by LA-ICP-MS) were extremely low, allowing us to ignore the radiogenic 208Pb contribution.
The uncorrected 206Pb 238U isochron age of sample SB-1625-22 is 2.66 ± 0.10 Ma and exhibits significant overdispersion with respect to the analytical uncertainties (MSWD = 36). Model-3 isochron regression (sensu Vermeesch, 2024) indicates that this excess scatter is equivalent to an age dispersion of 104 ± 28 kyr (Fig. 9a). In reality, the excess dispersion around the isochron is unlikely to reflect diachronous isotopic closure. A more likely explanation for the scatter of the 206Pb 238U data is spatial variability of the values, as discussed in Sect. 5. In summary, the actual dispersion estimate probably has no physical meaning, but the isochron age should be as accurate as mathematically possible. The reduction of the scatter around the Botovskaya isochrons (Fig. 9a and c) towards the y intercept also suggests that the common-Pb ratio is not substantially correlated with the postulated heterogeneous initial disequilibrium.
Given the antiquity of the sample and the difficulty of measuring by LA-ICP-MS, no initial disequilibrium measurement was made. Switching from 206U 238U to 207Pb 235U isochron space lowers the age to 1.60 ± 0.10 Ma whilst reducing the dispersion of the data around the isochron line (MSWD = 1.5, Fig. 9b). To verify the accuracy of this result, it is useful to point out that a value of 3.9 would bring the corrected 206Pb 238U isochron in alignment with the 207Pb 235U isochron. Such a value is consistent with the initial activity ratios of the more recent Botovskaya deposits (Fig. 7b). This not only supports the accuracy of the 207Pb 235U isochron results but also suggests that the ratios have remained stable over hundreds of thousands of years.
We would like to conclude this section by drawing attention to the fact that the 207Pb 235U method is not always successful. Figures 9c and d show that Botovskaya sample SB-72-8 produces a well-defined linear array in 206Pb 238U isochron space but fails to do so in 207Pb 235U isochron space. Such cases are not rare. The 207Pb 235U approach only works in samples that are sufficiently rich in U and sufficiently poor in common Pb. Speleothems from Botovskaya are rich in U (30–170 ppm for SB-72-8), so that here the problem seems to originate from common Pb (0.4–4 ppm for SB-72-8).
IsoplotR All the methods described in this paper have been implemented in the IsoplotR toolbox for geochronological data processing (Vermeesch, 2018). The matrix exponential disequilibrium correction method of Sect. 2 has been part of IsoplotR since version 3.0, whereas the deterministic Bayesian uncertainty estimation routine of Sect. 4 was introduced in version 5.2.  At the time of writing, IsoplotR (version 6.7) supports 12 different U–Pb data formats. Disequilibrium corrected U–Pb isochron regression is available for all these formats, in different forms.
Formats 1–3 contain neither 204Pb nor 208Pb. Therefore, isochron regression for these formats must be done by semitotal-Pb U regression in Tera–Wasserburg concordia space. Formats 4–6 include 204Pb as a common-Pb tracer. These formats permit the calculation of both 206Pb 238U and 207Pb 235U isochrons, either jointly (by three-dimensional total-Pb U isochron regression; Ludwig, 1998) or separately. To take full advantage of the 207Pb 235U method's superior accuracy, it is recommended to use the two-dimensional option. Formats 7 and 8 use 208Pb as a common-Pb tracer. They are also amenable to both 206Pb 238U and 207Pb 235U isochron regression, either jointly (by total-Pb U–Th regression; Vermeesch, 2020) or separately. Formats 9–10 and 11–12 are simplified versions of formats 4–6 and 7–8, respectively, which only permit two-dimensional regression. Formats 9 and 11 are meant for 206Pb 238U isochron regression, whereas formats 10 and 12 are meant for 207Pb 235U isochron regression.
The disequilibrium corrections can be accessed from IsoplotR's GUI (either online or offline) by using the “isochron” function and ticking the “apply disequilibrium correction” check box in the options menu. Alternatively, the same functionality can also be accessed from the command-line API. Bayesian uncertainty estimation is possible using either interface, but visualizing the posterior distributions of the parameter space is currently only possible from the command line.
The Supplement provides all the R code that was used to reproduce the figures in this paper (Vermeesch, 2025).
In this paper, we presented a critical appraisal of carbonate U–Pb geochronology and proposed three improvements to the technique. First, we introduced a matrix exponential solution to the initial disequilibrium problem, extending the work of Albarède (1995). This formulation produces identical results to the conventional solution by Engel et al. (2019) but can be written out more succinctly and can more easily be modified to suit other problems. For example, the matrix exponential approach can be adjusted to calculate disequilibrium-corrected U–Th–He ages (Farley et al., 2002; Danišík et al., 2017). Second, we presented a deterministic Bayesian algorithm to quantify the statistical uncertainty associated with the disequilibrium correction. This algorithm was used to demonstrate that, for samples older than ca. 2 Ma, disequilibrium-corrected 206Pb 238U geochronology is unreliable. Third, we advocated the use of the 207Pb 235U isochron method as a more accurate alternative to the 206Pb 238U method.
Although our findings are most relevant to young carbonates, the inaccuracy of the 206Pb 238U method equally applies to old samples. Only the relative difference between the 206Pb 238U and 207Pb 235U ages reduces with time. The absolute difference remains constant at up to 4 Myr (Eq. 1). The corresponding systematic uncertainty cannot be removed without making unverifiable assumptions about the initial 234U 238U activity ratio. For samples older than > 100 Ma, say, the systematic error caused by initial disequilibrium is generally smaller than the random errors associated with the isotope ratio measurements. However, given a sufficiently precise set of isochrons, it is theoretically possible to reconstruct the U disequilibrium conditions at the time of isotopic closure from the difference between the 206Pb 238U and 207Pb 235U clocks.
Engel et al. (2019) advocate using the same procedure in Quaternary studies.  They propose a two-step procedure, whereby the difference between the 206Pb  238U and 207Pb  235U dates is used to estimate ; and this  value is then used to calculate a corrected 206Pb  238U age. IsoplotR implements a one-step algorithm that achieves the same goal using the total-Pb  U algorithm of Ludwig (1998) and the total-Pb  U–Th algorithm of Vermeesch (2020). However, we would like to add a note of caution about the usefulness of this joint regression procedure. Beyond ca. 2 Ma, all the age-resolving power of the paired 206Pb  238U and 207Pb  235U approach resides in the 207Pb  235U clock, so the 206Pb  238U data add no value.
IsoplotR is free software released  under the GPL-3 licence. The package and its source code are  available from https://cran.r-project.org/package=IsoplotR (Vermeesch, 2018). The test data used in Sect. 8 are provided at https://doi.org/10.5281/zenodo.16262131 (Vermeesch, 2025).
NM developed the matrix exponential solution to the initial disequilibrium problem; PV developed the deterministic Bayesian inversion algorithm; RP proposed the 207Pb 235U fix to the 206Pb 238U problems; AV, TG, and SB provided the Siberian data; and PV wrote the paper, with feedback from the other authors.
At least one of the (co-)authors is a member of the editorial board of Geochronology. The peer-review process was guided by an independent editor, and the authors also have no other competing interests to declare.
Publisher’s note: Copernicus Publications remains neutral with regard to jurisdictional claims made in the text, published maps, institutional affiliations, or any other geographical representation in this paper. While Copernicus Publications makes every effort to include appropriate place names, the final responsibility lies with the authors.
This paper benefited from thorough reviews by Perach Nuriel, Timothy Pollard, and Robyn Pickering.
This research has been supported by the Natural Environment Research Council (grant no. NE/T001518/1, awarded to Pieter Vermeesch) and the Leverhulme Trust (grant no. RPG-20202-334, awarded to Sebastian F. M. Breitenbach).
This paper was edited by Axel Schmitt and reviewed by Perach Nuriel and Robyn Pickering.
Albarède, F.: Introduction to Geochemical Modeling, Cambridge University Press, https://doi.org/10.1017/CBO9780511622960, 1995. a, b
Audi, G., Bersillon, O., Blachot, J., and Wapstra, A. H.: The NUBASE evaluation of nuclear and decay properties, Nucl. Phys. A, 729, 3–128, 2003. a, b
Bateman, H.: The solution of a system of differential equations occurring in the theory of radio-active transformations, Proc. Cambridge Phil. Soc., 15, 423–427, 1908. a
Chaldekas, O., Vaks, A., Haviv, I., Gerdes, A., and Albert, R.: U-Pb speleothem geochronology reveals a major 6 Ma uplift phase along the western margin of Dead Sea Transform, Bull. Geol. Soc. Am., 134, 1571–1584, 2022. a, b, c
Cheng, H., Edwards, R. L., Shen, C.-C., Polyak, V. J., Asmerom, Y., Woodhead, J., Hellstrom, J., Wang, Y., Kong, X., Spötl, C., Wang, X., and Calvin Alexander, E.: Improvements in 230Th dating, 230Th and 234U half-life values, and U–Th isotopic measurements by multi-collector inductively coupled plasma mass spectrometry, Earth Planet. Sc. Lett., 371, 82–91, 2013. a
Danišík, M., Schmitt, A. K., Stockli, D. F., Lovera, O. M., Dunkl, I., and Evans, N. J.: Application of combined U-Th-disequilibrium/U-Pb and (U-Th)/He zircon dating to tephrochronology, Quat. Geochronol., 40, 23–32, 2017. a
Engel, J., Woodhead, J., Hellstrom, J., Maas, R., Drysdale, R., and Ford, D.: Corrections for initial isotopic disequilibrium in the speleothem U-Pb dating method, Quat. Geochronol., 54, 101009, https://doi.org/10.1016/j.quageo.2019.101009, 2019. a, b, c, d, e, f
Farley, K., Kohn, B., and Pillans, B.: The effects of secular disequilibrium on (U–Th)/He systematics and dating of Quaternary volcanic zircon and apatite, Earth Planet. Sc. Lett., 201, 117–125, 2002. a
Fleischer, R. L.: Alpha-recoil damage and solution effects in minerals: uranium isotopic disequilibrium and radon release, Geochim. Cosmochim. Ac., 46, 2191–2201, 1982. a
Horstwood, M. S., Košler, J., Gehrels, G., Jackson, S. E., McLean, N. M., Paton, C., Pearson, N. J., Sircombe, K., Sylvester, P., Vermeesch, P., Bowring, J. F., Condon, D. J., and Schoene, B.: Community-Derived Standards for LA-ICP-MS U-(Th-)Pb Geochronology – Uncertainty Propagation, Age Interpretation and Data Reporting, Geostand. Geoanal. Res., 40, 311–332, 2016. a
Jaffey, A., Flynn, K., Glendenin, L., Bentley, W., and Essling, A.: Precision measurement of half-lives and specific activities of 235U and 238U, Phys. Rev. C, 4, 1889–1906, 1971. a
Kaufman, A. and Broecker, W.: Comparison of Th230 and C14 ages for carbonate materials from Lakes Lahontan and Bonneville, J. Geophys. Res., 70, 4039–4054, 1965. a
Kronfeld, J., Vogel, J., and Talma, A.: A new explanation for extreme 234U 238U disequilibria in a dolomitic aquifer, Earth Planet. Sc. Lett., 123, 81–93, 1994. a, b
Kuribayashi, C., Miyakawa, K., Ito, A., and Tanimizu, M.: Large disequilibrium of 234U/238U isotope ratios in deep groundwater and its potential application as a groundwater mixing indicator, Geochem. J., 59, 35–44, 2025. a, b, c
Le Roux, L. J. and Glendenin, L. E.: Half-life of 232Th, Proceedings of the National Meeting on Nuclear Energy, Pretoria, South Africa, 5–8 April 1963, https://lccn.loc.gov/89460516 (last access: 8 October 2025), 1963. a
Ludwig, K. R.: Effect of initial radioactive-daughter disequilibrium on U-Pb isotope apparent ages of young minerals, J. Res. US Geol. Surv., 5, 663–667, 1977. a
Ludwig, K. R.: On the treatment of concordant uranium-lead ages, Geochim. Cosmochim. Ac., 62, 665–676, https://doi.org/10.1016/S0016-7037(98)00059-3, 1998. a, b, c
Ludwig, K. R.: Mathematical–statistical treatment of data and errors for 230Th U geochronology, Rev. Mineral. Geochem., 52, 631–656, 2003. a
Mason, A. J., Henderson, G. M., and Vaks, A.: An acetic acid-based extraction protocol for the recovery of U, Th and Pb from calcium carbonates for U-(Th)-Pb geochronology, Geostand. Geoanal. Res., 37, 261–275, 2013. a, b
Neymark, L. and Amelin, Y.: Natural radionuclide mobility and its influence on U–Th–Pb dating of secondary minerals from the unsaturated zone at Yucca Mountain, Nevada, Geochim. Cosmochim. Ac., 72, 2067–2089, 2008. a, b
Nuriel, P., Wotzlaw, J.-F., Ovtcharova, M., Vaks, A., Stremtan, C., Šala, M., Roberts, N. M. W., and Kylander-Clark, A. R. C.: The use of ASH-15 flowstone as a matrix-matched reference material for laser-ablation U–Pb geochronology of calcite, Geochronology, 3, 35–47, https://doi.org/10.5194/gchron-3-35-2021, 2021. a, b, c
Osmond, J. K. and Cowart, J. B.: The theory and uses of natural uranium isotopic variations in hydrology, Atom. Energy Rev., 14, 621–679, 1976. a, b, c
Pickering, R., Herries, A. I., Woodhead, J. D., Hellstrom, J. C., Green, H. E., Paul, B., Ritzman, T., Strait, D. S., Schoville, B. J., and Hancox, P. J.: U–Pb-dated flowstones restrict South African early hominin record to dry climate phases, Nature, 565, 226, 2019. a, b, c
Pollard, T., Woodhead, J., Hellstrom, J., Engel, J., Powell, R., and Drysdale, R.: DQPB: software for calculating disequilibrium U–Pb ages, Geochronology, 5, 181–196, https://doi.org/10.5194/gchron-5-181-2023, 2023. a, b, c, d
Porcelli, D. and Swarzenski, P. W.: The behavior of U-and Th-series nuclides in groundwater, Rev. Mineral. Geochem., 52, 317–361, 2003. a
Richards, D. A., Bottrell, S. H., Cliff, R. A., Ströhle, K., and Rowe, P. J.: U-Pb dating of a speleothem of Quaternary age, Geochim. Cosmochim. Ac., 62, 3683–3688, 1998. a, b, c
Roberts, N. M. W., Drost, K., Horstwood, M. S. A., Condon, D. J., Chew, D., Drake, H., Milodowski, A. E., McLean, N. M., Smye, A. J., Walker, R. J., Haslam, R., Hodson, K., Imber, J., Beaudoin, N., and Lee, J. K.: Laser ablation inductively coupled plasma mass spectrometry (LA-ICP-MS) U–Pb carbonate geochronology: strategies, progress, and limitations, Geochronology, 2, 33–61, https://doi.org/10.5194/gchron-2-33-2020, 2020. a
Smith, P. E. and Farquhar, R. M.: Direct dating of Phanerozoic sediments by the 238U–206Pb method, Nature, 341, 518–521, 1989. a
Vaks, A., Bar-Matthews, M., Matthews, A., Ayalon, A., and Frumkin, A.: Middle-Late Quaternary paleoclimate of northern margins of the Saharan-Arabian Desert: reconstruction from speleothems of Negev Desert, Israel, Quaternary Sci. Rev., 29, 2647–2662, 2010. a
Vaks, A., Gutareva, O. S., Breitenbach, S. F., Avirmed, E., Mason, A. J., Thomas, A. L., Osinzev, A. V., Kononov, A. M., and Henderson, G. M.: Speleothems reveal 500,000-year history of Siberian permafrost, Science, 340, 183–186, 2013a. a, b
Vaks, A., Woodhead, J., Bar-Matthews, M., Ayalon, A., Cliff, R., Zilberman, T., Matthews, A., and Frumkin, A.: Pliocene–Pleistocene climate of the northern margin of Saharan–Arabian Desert recorded in speleothems from the Negev Desert, Israel, Earth Planet. Sc. Lett., 368, 88–100, 2013b. a
Vaks, A., Mason, A., Breitenbach, S., Kononov, A., Osinzev, A., Rosensaft, M., Borshevsky, A., Gutareva, O., and Henderson, G.: Palaeoclimate evidence of vulnerable permafrost during times of low sea ice, Nature, 577, 221–225, 2020. a, b, c, d, e, f
Vermeesch, P.: IsoplotR: a free and open toolbox for geochronology, Geosci. Front., 9, 1479–1493, 2018 (data available at: https://cran.r-project.org/package=IsoplotR, last access: 21 July 2025). a, b, c
Vermeesch, P.: Unifying the U–Pb and Th–Pb methods: joint isochron regression and common Pb correction, Geochronology, 2, 119–131, https://doi.org/10.5194/gchron-2-119-2020, 2020. a, b, c
Vermeesch, P.: Errorchrons and anchored isochrons in IsoplotR, Geochronology, 6, 397–407, https://doi.org/10.5194/gchron-6-397-2024, 2024. a, b
Vermeesch, P.: Data and code for “Carbonate problems and potential fixes”, Version v1, Zenodo [data set], https://doi.org/10.5281/zenodo.16262131, 2025. a, b, c, d
Vermeesch, P., Hopley, P., Roberts, N., and Parrish, R.: Geochronology of Taung and other southern African australopiths, in: One hundred years of Australopithecus africanus, edited by Wood, B. A., Grine, F. E., and Smith, H. B., Springer, Chap. 4, EarthArXiv, https://doi.org/10.31223/X5DB43, 2025. a, b
Walker, J., Cliff, R. A., and Latham, A. G.: U–Pb isotopic age of the StW 573 hominid from Sterkfontein, South Africa, Science, 314, 1592–1594, 2006. a
Wendt, I. and Carl, C.: U Pb dating of discordant 0.1 Ma old secondary U minerals, Earth Planet. Sc. Lett., 73, 278–284, 1985. a, b
Woodhead, J., Hellstrom, J., Maas, R., Drysdale, R., Zanchetta, G., Devine, P., and Taylor, E.: U–Pb geochronology of speleothems by MC-ICPMS, Quat. Geochronol., 1, 208–221, 2006. a
Zhou, J., Lundstrom, C. C., Fouke, B., Panno, S., Hackley, K., and Curry, B.: Geochemistry of speleothem records from southern Illinois: Development of (234U) (238U) as a proxy for paleoprecipitation, Chem. Geol., 221, 1–20, 2005. a
- Abstract
- Introduction
- Disequilibrium corrections in a nutshell
- “Monte Carlo” uncertainty estimation
- A Bayesian approach
- The case against 206Pb 238U dating of old carbonates
- A potential 207Pb 235U fix to 206Pb 238U's problems
- Case studies
- 
        
                                Implementation in IsoplotR
- Conclusions
- Code and data availability
- Author contributions
- Competing interests
- Disclaimer
- Acknowledgements
- Financial support
- Review statement
- References
- Abstract
- Introduction
- Disequilibrium corrections in a nutshell
- “Monte Carlo” uncertainty estimation
- A Bayesian approach
- The case against 206Pb 238U dating of old carbonates
- A potential 207Pb 235U fix to 206Pb 238U's problems
- Case studies
- 
                                        Implementation in IsoplotR
- Conclusions
- Code and data availability
- Author contributions
- Competing interests
- Disclaimer
- Acknowledgements
- Financial support
- Review statement
- References
 
 
                                     
                                     
                                     
                                    
